Chemistry
Textbooks
Boundless Chemistry
Transition Metals
Coordination Compounds
Chemistry Textbooks Boundless Chemistry Transition Metals Coordination Compounds
Chemistry Textbooks Boundless Chemistry Transition Metals
Chemistry Textbooks Boundless Chemistry
Chemistry Textbooks
Chemistry
Concept Version 9
Created by Boundless

Isomers in Coordination Compounds

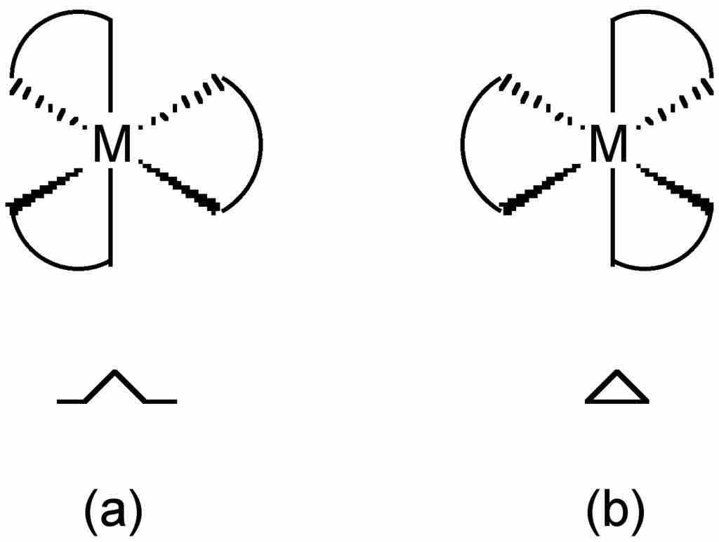
Optical isomers

Optical isomers

The two optical isomers of a tris-chelate metal complex.

Source

    Boundless vets and curates high-quality, openly licensed content from around the Internet. This particular resource used the following sources:

    "Andrew Barron, Stereochemistry. November 1, 2012."
    http://cnx.org/content/m34480/latest/ OpenStax CNX CC BY 3.0.

Related Terms

  • optical isomers
  • stereoisomers
  • bidentate
  • superposable
  • octahedron
  • Subjects
    • Accounting
    • Algebra
    • Art History
    • Biology
    • Business
    • Calculus
    • Chemistry
    • Communications
    • Economics
    • Finance
    • Management
    • Marketing
    • Microbiology
    • Physics
    • Physiology
    • Political Science
    • Psychology
    • Sociology
    • Statistics
    • U.S. History
    • World History
    • Writing

    Except where noted, content and user contributions on this site are licensed under CC BY-SA 4.0 with attribution required.