Concept
Version 5
Created by Boundless
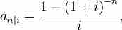
Impact of Payment Frequency on Bond Prices
Source
Boundless vets and curates high-quality, openly licensed content from around the Internet. This particular resource used the following sources:
"Annuity (finance theory)."
http://en.wikipedia.org/wiki/Annuity_(finance_theory)
Wikipedia
GNU FDL.
