Finance
Textbooks
Boundless Finance
Bond Valuation
Valuing Bonds
Finance Textbooks Boundless Finance Bond Valuation Valuing Bonds
Finance Textbooks Boundless Finance Bond Valuation
Finance Textbooks Boundless Finance
Finance Textbooks
Finance
Concept Version 6
Created by Boundless

Par Value at Maturity

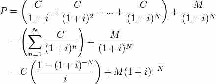
Bond Price Formula

Bond Price Formula

Bond price is the present value of coupon payments and the par value at maturity.

Source

    Boundless vets and curates high-quality, openly licensed content from around the Internet. This particular resource used the following sources:

    "Bond pricing."
    http://en.wikipedia.org/wiki/Bond_pricing Wikipedia GNU FDL.

Related Terms

  • inflation-linked bonds
  • Subjects
    • Accounting
    • Algebra
    • Art History
    • Biology
    • Business
    • Calculus
    • Chemistry
    • Communications
    • Economics
    • Finance
    • Management
    • Marketing
    • Microbiology
    • Physics
    • Physiology
    • Political Science
    • Psychology
    • Sociology
    • Statistics
    • U.S. History
    • World History
    • Writing

    Except where noted, content and user contributions on this site are licensed under CC BY-SA 4.0 with attribution required.