Finance
Textbooks
Boundless Finance
Financial Statements, Taxes, and Cash Flow
Other Statements
Finance Textbooks Boundless Finance Financial Statements, Taxes, and Cash Flow Other Statements
Finance Textbooks Boundless Finance Financial Statements, Taxes, and Cash Flow
Finance Textbooks Boundless Finance
Finance Textbooks
Finance
Concept Version 7
Created by Boundless

MVA and EVA

MVA and EVA

MVA and EVA

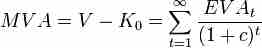
MVA is the present value of a series of EVA values.

Source

    Boundless vets and curates high-quality, openly licensed content from around the Internet. This particular resource used the following sources:

    "Economic value added."
    http://en.wikipedia.org/wiki/Economic_value_added Wikipedia GNU FDL.

Related Terms

  • NOPAT
  • Subjects
    • Accounting
    • Algebra
    • Art History
    • Biology
    • Business
    • Calculus
    • Chemistry
    • Communications
    • Economics
    • Finance
    • Management
    • Marketing
    • Microbiology
    • Physics
    • Physiology
    • Political Science
    • Psychology
    • Sociology
    • Statistics
    • U.S. History
    • World History
    • Writing

    Except where noted, content and user contributions on this site are licensed under CC BY-SA 4.0 with attribution required.