Overview of Warrants
A warrant is a security that entitles the holder to buy the underlying stock of the issuing company at a fixed exercise price until the expiration date. Some important characteristics to consider include the following:
- A warrant is exercised when the holder informs the issuer of their intention to purchase the shares underlying the warrant.
- A warrant's "premium" represents how much extra you have to pay for your shares when buying them through the warrant as compared to buying them the regular way.
- A warrant's "gearing" is the way to ascertain how much more exposure you have to the underlying shares using the warrant as compared to the exposure you would have if you buy the shares through the market.
- If you plan on exercising the warrant, you must do so before the expiration date. The more time remaining until expiration, the more time for the underlying security to appreciate, which, in turn, will increase the price of the warrant (unless it depreciates). Therefore, the expiration date is the date on which the right to exercise ceases to exist.
- Like options, there are different exercise types associated with warrants such as American style (holder can exercise anytime before expiration) or European style (holder can only exercise on expiration date).
Sometimes, the issuer will try to establish a market for the warrant and to register it with a listed exchange. In this case, the price can be obtained from a stockbroker. Often, though, warrants are privately held or not registered, which makes their prices less obvious.
Warrants Versus Other Convertibles
Warrants are very similar to call options. For instance, many warrants confer the same rights as equity options, and warrants often can be traded in secondary markets like options. However, there are several key differences between warrants and equity options:
- Warrants are issued by private parties, typically the corporation on which a warrant is based, rather than a public options exchange.
- Warrants issued by the company itself are dilutive. When the warrant issued by the company is exercised, the company issues new shares of stock, so the number of outstanding shares increases. When a call option is exercised, the owner of the call option receives an existing share from an assigned call writer. Unlike common stock shares outstanding, warrants do not have voting rights.
- Warrants are considered over-the-counter instruments, and thus are usually only traded by financial institutions with the capacity to settle and clear these types of transactions.
- A warrant's lifetime is measured in years (as long as 15 years), while options are typically measured in months. Upon expiration, the warrants are worthless unless the price of the common stock is greater than the exercise price.
- Warrants are not standardized like exchange-listed options. While each option contract is generally over 1,000 underlying ordinary shares, the number of warrants that must be exercised by the holder to buy the underlying asset depends on the conversion ratio set out in the offer documentation for the warrant issue.
Valuation
There are various methods of evaluating warrants, the most popular being the Black-Scholes evaluation model [see section on Options]. However, it is important to have some understanding of the various influences on warrant prices. The market value of a warrant can be divided into two components:
Intrinsic value: This is simply the difference between the exercise (strike) price and the underlying stock price. Warrants are also referred to as in-the-money or out-of-the-money, depending on where the current asset price is in relation to the warrant's exercise price. Thus, for instance, for call warrants, if the stock price is below the strike price, the warrant has no intrinsic value (only time value - to be explained shortly). If the stock price is above the strike, the warrant has intrinsic value and is said to be in-the-money.
Time value: Time value can be considered as the value of the continuing exposure to the movement in the underlying security that the warrant provides. Time value declines as the expiration of the warrant gets closer. This erosion of time value is called time decay. It is not constant, but increases rapidly towards expiration. Time value is affected by time to expiration, volatility, dividends and interest rates.
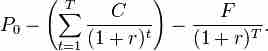
Traditional warrants are issued in conjunction with a bond (known as a warrant-linked bond), and represent the right to acquire shares in the entity issuing the bond. In other words, the writer of a traditional warrant is also the issuer of the underlying instrument. Warrants are issued in this way to reduce the interest rate that must be offered in order to sell the bond issue. Valuing this type of warrant can be accomplished with the following equation:

Valuing a Warrant
Where: P is the price paid for the bond with warrants; C is the coupon payment; T is the maturity of the bond; r is the required rate of return; and F is the face value of the bond.
Uses, Advantages & Disadvantages
Warrants are often used as deal sweeteners, in order to entice hesitant investors. However, a warrant only benefits the investor if the company grows. Warrants can also be used for portfolio protection. For example, put warrants allow the owner to protect the value of the owner's portfolio against falls in the market or in particular shares. Because of the dilutive nature of warrants, their issuance can lead to a decrease in stock value and loss of voting control. Warrants may also carry liquidity risk, due to their specialized nature.