Concept
Version 8
Created by Boundless
Calculating the Yield of an Annuity

IRR Example
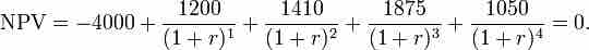
The setup to find the IRR of the investment with cash flows of -4000, 1200, 1410, 1875, and 1050. By setting NPV = 0 and solving for r, you can find the IRR of this investment.
Source
Boundless vets and curates high-quality, openly licensed content from around the Internet. This particular resource used the following sources: