Concept
Version 6
Created by Boundless
The Pentose Phosphate Shunt
Source
Boundless vets and curates high-quality, openly licensed content from around the Internet. This particular resource used the following sources:
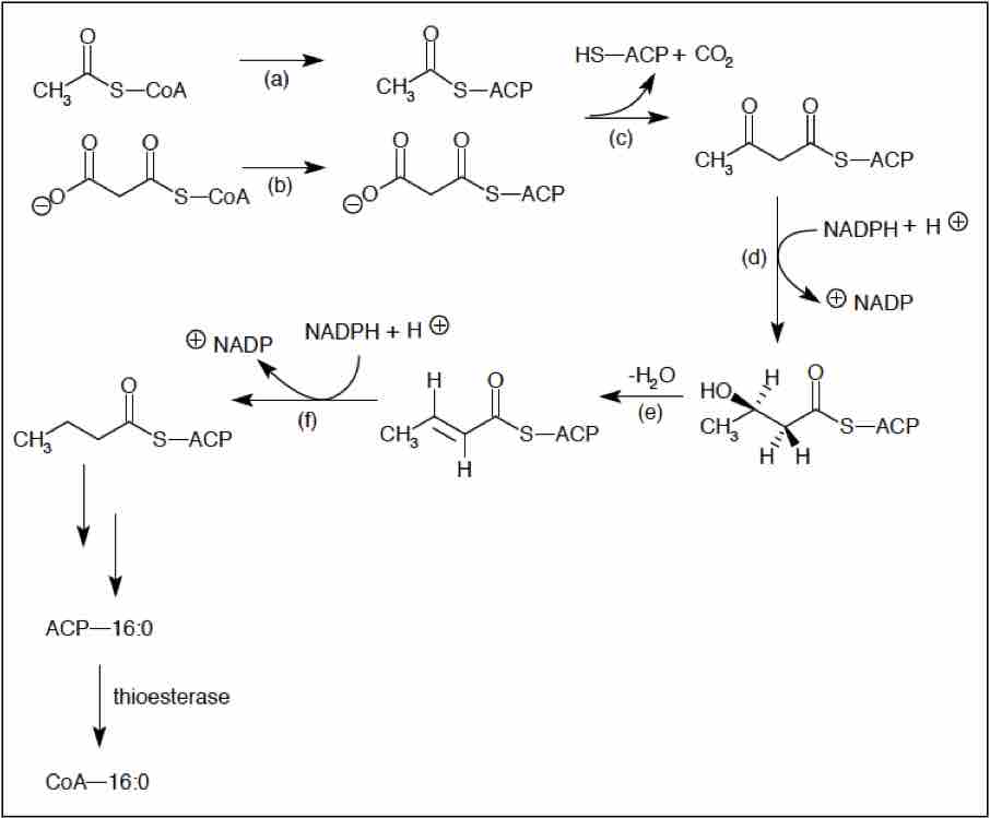
"Saturated Fatty Acid Synthesis."
http://en.wikipedia.org/wiki/File:Saturated_Fatty_Acid_Synthesis.png
Wikipedia
CC BY-SA.
