Concept
Version 7
Created by Boundless
Pressure in the Body

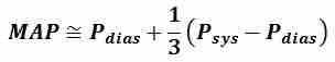
Approximation for Mean Arterial Pressure
In practice, the mean arterial pressure (MAP) can be approximated from easily obtainable blood pressure measurements.
Source
Boundless vets and curates high-quality, openly licensed content from around the Internet. This particular resource used the following sources: