Physics
Textbooks
Boundless Physics
Fluids
Density and Pressure
Physics Textbooks Boundless Physics Fluids Density and Pressure
Physics Textbooks Boundless Physics Fluids
Physics Textbooks Boundless Physics
Physics Textbooks
Physics
Concept Version 9
Created by Boundless

Static Equilibrium

Static Equilibrium of a Region Within a Fluid

Static Equilibrium of a Region Within a Fluid

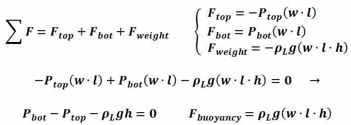
This figure shows the equations for static equilibrium of a region within a fluid.

Source

    Boundless vets and curates high-quality, openly licensed content from around the Internet. This particular resource used the following sources:

    http://N/A.
    http://N/A CC BY-SA 3.0.

Related Terms

  • equilibrium
  • torque
  • Buoyancy
  • Subjects
    • Accounting
    • Algebra
    • Art History
    • Biology
    • Business
    • Calculus
    • Chemistry
    • Communications
    • Economics
    • Finance
    • Management
    • Marketing
    • Microbiology
    • Physics
    • Physiology
    • Political Science
    • Psychology
    • Sociology
    • Statistics
    • U.S. History
    • World History
    • Writing

    Except where noted, content and user contributions on this site are licensed under CC BY-SA 4.0 with attribution required.