Concept
Version 10
Created by Boundless
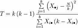
Comparing Three or More Populations: Randomized Block Design
Source
Boundless vets and curates high-quality, openly licensed content from around the Internet. This particular resource used the following sources:
