Statistics
Textbooks
Boundless Statistics
Other Hypothesis Tests
The t-Test
Statistics Textbooks Boundless Statistics Other Hypothesis Tests The t-Test
Statistics Textbooks Boundless Statistics Other Hypothesis Tests
Statistics Textbooks Boundless Statistics
Statistics Textbooks
Statistics
Concept Version 5
Created by Boundless

Calculations for the t-Test: Two Samples

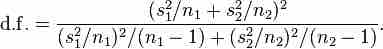
Welch–Satterthwaite Equation

Welch–Satterthwaite Equation

This is the formula for calculating the degrees of freedom in Welsh's t-test.

Source

    Boundless vets and curates high-quality, openly licensed content from around the Internet. This particular resource used the following sources:

    "Student's t-test."
    https://en.wikipedia.org/wiki/Student's_t-test Wikipedia CC BY-SA.

Related Terms

  • pooled variance
  • degrees of freedom
  • Subjects
    • Accounting
    • Algebra
    • Art History
    • Biology
    • Business
    • Calculus
    • Chemistry
    • Communications
    • Economics
    • Finance
    • Management
    • Marketing
    • Microbiology
    • Physics
    • Physiology
    • Political Science
    • Psychology
    • Sociology
    • Statistics
    • U.S. History
    • World History
    • Writing

    Except where noted, content and user contributions on this site are licensed under CC BY-SA 4.0 with attribution required.