Statistics
Textbooks
Boundless Statistics
Probability and Variability
The Binomial Random Variable
Statistics Textbooks Boundless Statistics Probability and Variability The Binomial Random Variable
Statistics Textbooks Boundless Statistics Probability and Variability
Statistics Textbooks Boundless Statistics
Statistics Textbooks
Statistics
Concept Version 8
Created by Boundless

Additional Properties of the Binomial Distribution

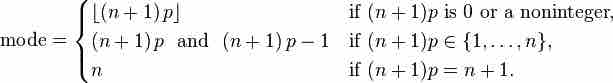
Summary of Modes

Summary of Modes

This summarizes how to find the mode of a binomial distribution.

Source

    Boundless vets and curates high-quality, openly licensed content from around the Internet. This particular resource used the following sources:

    "Binomial distribution."
    http://en.wikipedia.org/wiki/Binomial_distribution Wikipedia GNU FDL.

Related Terms

  • median
  • Mode
  • floor function
  • covariance
  • Subjects
    • Accounting
    • Algebra
    • Art History
    • Biology
    • Business
    • Calculus
    • Chemistry
    • Communications
    • Economics
    • Finance
    • Management
    • Marketing
    • Microbiology
    • Physics
    • Physiology
    • Political Science
    • Psychology
    • Sociology
    • Statistics
    • U.S. History
    • World History
    • Writing

    Except where noted, content and user contributions on this site are licensed under CC BY-SA 4.0 with attribution required.